І мова піде не про камеру чи застосунки, а про прості правила: світло, кадр і монтаж, які роблять відео візуально дорожчим
Вітаміни, які роблять нас розумнішими: наукові факти vs маркетингові казки
Реклама обіцяє, що варто лише купити правильну баночку з написом «вітаміни» — і твоя продуктивність злетить. У цій статті розбираємося, які добавки дійсно потрібні організму, а де просто красива казка задля продажів.
Часом здається, що мозок просто «завис»: важко зосередитися, все забувається, а думки — як у тумані. У такі моменти хочеться знайти чарівну пігулку, яка все виправить: поверне фокус, прокачає памʼять і дасть сили працювати на максимум. І ніби як відповідь — з полиці підморгує яскрава баночка з написом «ВІТАМІНИ».
Знайомо? Ринок вітамінів і БАДів грає на нашому бажанні бути продуктивнішими, здоровішими та гарнішими, особливо коли сили на нулі, а тривога — на максимумі. Але є одне питання, яке варто поставити перед тим, як додати чергову баночку до кошика: чи це справді працює, чи просто гарно звучить?
У цій статті ми розберемося:
- які вітаміни та речовини дійсно потрібні мозку,
- що кажуть дослідження про їхню ефективність,
- і як не потрапити в пастку маркетингу.

Бо турбота про себе — це не про сліпу віру в рекламу. Це про обізнані рішення, які допомагають думати краще й жити усвідомленіше.
Що потрібно мозку для роботи: короткий гід по вітамінах
Мозок — це не лише сіра речовина, а складна біохімічна система. Щоб думати швидко, запамʼятовувати надовго й не вигорати, йому потрібне постійне «пальне». Частину ми отримуємо з їжі, частину — з довкілля (сонце, море тощо), а частину просто не доотримуємо, навіть не здогадуючись про це.
Коли в організмі не вистачає певних вітамінів чи мікроелементів, мозок — один із перших, хто це відчує. Втрачається концентрація, падає настрій, приходить хронічна втома. І тут варто не бігти одразу за ноотропами, а розібратись — що саме потрібно мозку щодня, аби працювати ефективно.
Вітаміни групи B: основа роботи нервової системи
Якщо уявити мозок як електромережу, то вітаміни B — це і дроти, і трансформатори, і система безпеки. Особливо важливими є B6, B9 (фолат) і B12 — вони відповідають за утворення нейромедіаторів (серотоніну, дофаміну), які впливають на настрій, увагу і памʼять. А ще ці вітаміни беруть участь у створенні мієлінової оболонки — «ізоляції» для нервів.

При дефіциті B12 зʼявляється туман у голові, дратівливість і втрата памʼяті. Це не перебільшення — при хронічній нестачі розвиваються справжні неврологічні розлади. Добре, що цей дефіцит легко виявити і виправити, якщо вчасно звернути увагу.
Сигнали, що варто перевірити рівень вітамінів B:
- втома, яка не минає навіть після сну;
- часті головні болі, запаморочення;
- «мурашки» по тілу або поколювання в руках;
- зниження уваги, забутливість;
- перепади настрою.
Вітамін D: не лише про імунітет
Його ще називають «сонячним гормоном» — і не дарма. Вітамін D потрібен для багатьох функцій, але останні роки вчені активно вивчають його звʼязок із когнітивним здоров’ям. Низький рівень D може бути повʼязаний із депресивними станами, тривожністю, розсіяною увагою та навіть підвищеним ризиком деменції в літньому віці.

Оскільки багато хто з нас працює в офісі або живе в північних регіонах, дефіцит D — не рідкість. Навіть улітку, якщо ти користуєшся SPF (а ти маєш це робити), синтез вітаміну блокується. Тому аналіз на D — один із базових, якщо відчуваєш, що мозок «не вмикається».
Омега-3: жир, без якого мозок не працює
Так, наш мозок майже на 60% складається з жиру. І найважливішими у цьому «жировому складі» є омега-3 жирні кислоти, особливо DHA та EPA. Вони будують мембрани нейронів, зменшують запалення, покращують передачу сигналів.

Якщо в раціоні мало риби, горіхів і насіння — омега-3 може бракувати. Вчені помітили, що у людей, які регулярно їдять лосося, скумбрію, тунець чи сардини, памʼять і швидкість реакцій кращі, ніж у тих, хто уникає морепродуктів. Але цікаво, що добавки з рибʼячим жиром не дають такого ж ефекту, як натуральна їжа.
Магній, цинк і холін: малопомітні, але важливі
Ці нутрієнти не на слуху так, як омега чи вітаміни D і B, але без них мозок не зможе працювати злагоджено. Магній відповідає за розслаблення нервової системи, покращує якість сну й допомагає зменшити тривожність. Цинк — підтримує когнітивні функції, бере участь у формуванні памʼяті та навчанні.

А от холін — речовина, яка потрібна для синтезу ацетилхоліну, одного з ключових нейромедіаторів. Він особливо важливий для студентів, креаторів, людей, які працюють з інформацією — бо впливає на здатність до навчання. Холін можна отримати з жовтків, печінки, бобових.
Тобі не обов’язково знати всі формули, але важливо розуміти, що мозок — це в першу чергу біохімія. І якщо бракує будівельних матеріалів, навіть найрозумніший інтелект буксує.
Три речі, які допомагають підтримати розумову активність щодня:
- Повноцінне харчування зі свіжих продуктів.
- Регулярне обстеження (аналізи на B12, D, омега-3).
- Вміння відчути сигнали тіла й не ігнорувати втому, забудькуватість чи «туман у голові».
Хочеш дати мозку ще більше викликів і можливостей для росту? Приходь на наші найближчі івенти. Тут ти зможеш опанувати нову сучасну професію, яка триматиме тебе в тонусі щодня. Це не тільки розвиток пам’яті й креативності, а й реальний шанс вийти на новий рівень кар’єри.
Правда про добавки: коли вони реально працюють
Було б зручно, якби вітаміни працювали як кава: випив — і мозок увімкнувся. Але насправді все складніше. БАДи та вітамінні комплекси не покращують памʼять і концентрацію в людей, у яких немає дефіциту.
Це підтверджують десятки досліджень: якщо твій організм і так отримує достатньо поживних речовин, “добавка зверху” не додасть тобі геніальності. На жаль, це не той випадок, коли більше — означає краще. Навпаки, деякі вітаміни (наприклад, жиророзчинні A, D, E, K) у високих дозах можуть нашкодити.

Але є ситуації, коли добавки — справді необхідні. Усе залежить від того, чи є в тебе дефіцит.
Коли мозок просить допомоги: ознаки дефіциту
Дефіцити можуть виникати поступово — і ти навіть не помітиш, як опиняєшся у стані, коли мозок працює на мінімалках. Це як довго ходити в кольорових окулярах, думаючи, що це — норма.
Поширені симптоми, що можуть вказувати на нестачу вітамінів чи мінералів:
- втома без явної причини;
- порушення концентрації;
- часті «зависання» і забудькуватість;
- апатія або дратівливість;
- поганий сон;
- мʼязові посмикування або поколювання.
Ці стани можуть бути наслідком дефіциту B12, D, магнію, заліза або омега-3. Але за симптомами не вгадати точно, тому краще зробити аналізи — це швидко і значно дешевше, ніж купа “розумних” добавок.
Що радять лікарі: перевіряємо — потім пʼємо
Лікарі доказової медицини радять діяти не наосліп, а через діагностику. Найпростіше — здати аналізи на:
- Вітамін B12
- Вітамін D (25(OH)D)
- Феритин (запаси заліза)
- Омега-3 індекс (за бажанням)
- Гомоцистеїн (маркер, пов’язаний з нестачею фолатів)
Ці тести покажуть, чи справді твоєму організму чогось бракує, чи справа в чомусь іншому: стресі, емоційному вигоранні, поганому сні чи перевантаженні.
ВАЖЛИВО: не пий вітаміни “на всякий випадок”. Це може призвести до передозувань, алергій або неочікуваних побічок. Наприклад:
- надлишок вітаміну D — порушення роботи нирок;
- магній у високих дозах — викликає галюцинації;
- вітамін B6 — може викликати оніміння кінцівок при надмірному прийомі.
А коли добавки дійсно потрібні?
Є ситуації, коли добавки медична необхідність. Наприклад:
- Вагітність і планування — потрібен фолат, DHA, іноді йод та інше

- Веганство / вегетаріанство — часто виникає дефіцит B12, заліза, омега-3
- Люди після 50 — погіршується засвоєння вітамінів з їжі
- Захворювання ШКТ — порушення всмоктування нутрієнтів (целіакія, гастрит, тощо)
- Жителі північних регіонів або офісні працівники — ризик дефіциту вітаміну D
- Хронічний стрес, тривога, депресія — іноді супроводжуються змінами в обміні вітамінів
Іноді ми просто втомлені, виснажені, не виспані. І віримо, що нова баночка з “Brain Booster” вирішить усе. Але пігулка не замінить сон, харчування і психологічну підтримку. Якщо хочеш допомогти мозку — почни з бази: перевір, чого йому справді бракує, і не ведись на гучні гасла.
Мультивітаміни для мозку — нова надія чи міф?
Ідея проста й приваблива: замість того щоб шукати окремо вітаміни B, D, магній чи омега-3, достатньо випити одну таблетку — і організм отримає все необхідне. Логіка зрозуміла: «на всяк випадок» закрити всі можливі дефіцити. І виробники мультивітамінів активно просувають саме цей підхід: одна баночка = спокій за здоров’я.
Але чи справді мультивітаміни здатні впливати на мозок? Чи це знову маркетингова ілюзія? Довгий час відповідь була радше негативною. Та кілька років тому ситуація змінилася завдяки серії масштабних досліджень.
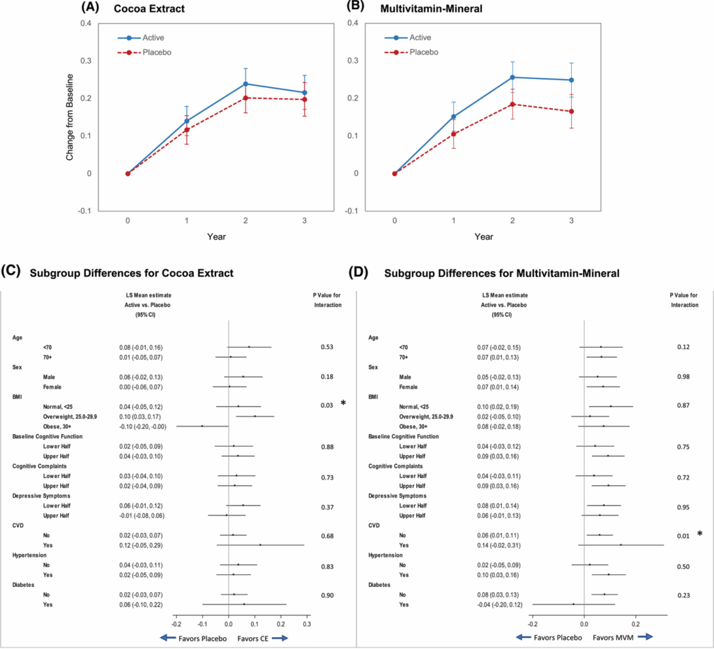
COSMOS study: мультивітаміни й пам’ять у людей 60+
У США провели вражаюче дослідження COSMOS. У ньому взяли участь понад 20 тисяч людей, середній вік — понад 60 років. Учасників поділили на дві групи: одні щодня приймали мультивітамінний комплекс, інші — плацебо.
Через кілька років вчені перевірили, чи є різниця у когнітивних функціях. І виявили цікаве: у тих, хто приймав мультивітаміни, пам’ять і глобальні когнітивні показники були трохи кращими. Ефект можна порівняти з тим, ніби мозок «помолодшав» приблизно на два роки у порівнянні з контрольною групою. Це небагато, але для літніх людей — суттєво.

Дослідники зробили висновок: щоденний мультивітамін може сповільнювати віковий когнітивний спад. І це стало справжнім проривом, адже раніше користь мультивітамінів ставили під сумнів.
Важливі нюанси
Попри оптимістичні результати, є кілька «але»:
- ефект був помірним, не «вау-результатом»”
- дослідження проводили серед людей похилого віку, тому для молодих висновки не такі очевидні”
- мультивітаміни не лікують деменцію, вони лише трохи підтримують мозок”
- механізм дії ще вивчають: ймовірно, справа в усуненні мікродефіцитів, які з віком стають частими.
Тобто це не чарівна пігулка, а радше страховка для організму, який уже має проблеми в засвоєнні корисних елементів з харчування.
Чи варто пити мультивітаміни «на всякий випадок»?
Тут думки експертів розходяться. Прихильники кажуть: мультивітамін — це безпечний спосіб закрити можливі прогалини в раціоні, особливо якщо ти не впевнений, що харчуєшся ідеально. Опоненти наголошують: якщо твій раціон різноманітний, мультивітамін не зробить тебе розумнішим. А ще є ризик передозування окремими компонентами, особливо жиророзчинними вітамінами.
Лікарі радять підходити так:
- Спершу переглянь свій раціон — можливо, варто додати більше риби, зелені чи горіхів.
- Якщо харчування справді одноманітне або маєш обмеження (веганство, алергії), мультивітамін може бути доречним.
- Пам’ятай, що це додаток, а не заміна повноцінного харчування.
Популярні “вітаміни для мозку”, які не працюють
Ринок добавок для мозку величезний. Баночки з яскравими написами обіцяють «покращення памʼяті», «розумову ясність» і навіть «захист від деменції». Та коли заглянути в дослідження, більшість цих обіцянок розсипаються, як картковий будинок. Розгляньмо кілька гучних прикладів.
Гінкго білоба: легенда, що не підтвердилася
Про гінкго білоба чули майже всі, хто хоч раз цікавився добавками для мозку. Його просувають десятиліттями як «природний стимулятор памʼяті» й «захист від старечої деменції». Продається у вигляді таблеток, чаїв і капсул.

Але найбільше дослідження GEM (Ginkgo Evaluation of Memory, понад 3000 учасників, тривалість майже 6 років) показало нульовий ефект: у групі гінкго ризик деменції не відрізнявся від плацебо. Іншими словами, пити його чи не пити — різниці для мозку не буде.
Попри це, гінкго далі продається і має стабільний попит. Чому? Бо «натуральне», «давня традиція» і «чутки про користь» продають краще за сухі графіки з наукових журналів.
Prevagen: білок з медуз і мільйони на обіцянках
Prevagen — це американський хіт серед добавок для памʼяті. Його основний інгредієнт — білок, виділений із медуз. Звучить екзотично і науково, правда?

Реклама запевняє: «Допомагає зберегти памʼять і ясність мислення». Але доказів немає. Жодне якісне клінічне дослідження не підтвердило, що Prevagen справді працює. Ба більше, виробник неодноразово мав проблеми з регуляторами через неправдиві твердження у рекламі.
Попри це, продукт щомісяця купує близько мільйона американців. Продажі сягають понад $40 млн на місяць. По суті, це дорогий плацебо, яке грає на страху людей втратити памʼять у літньому віці.
Neuriva: “клінічно доведено”… але не зовсім
Neuriva — ще один гучний бренд, який позиціонує себе як «розумова підтримка №1». На етикетках колись писали “clinically proven” («клінічно доведено»), але після судового позову компанію змусили прибрати ці слова. Бо жодних серйозних доказів ефективності не було.

У складі Neuriva — фосфатидилсерин (жирова сполука, яку можна отримати з їжі) і екстракт кавових ягід. Фактично головний ефект — це невелика доза кофеїну. Як влучно пожартувала одна неврологиня: «Навіщо платити долар за пігулку з кавовими зернами, якщо можна просто випити каву?».
Neuriva добре продається завдяки рекламі, але реальний ефект — сумнівний. Це ще один приклад того, як упаковка і маркетинг створюють ілюзію науковості.
Інші модні ноотропи: багато шуму, мало доказів
Сюди можна віднести десятки позицій: женьшень, бакопа, «левова грива» (гриб Hericium), L-теанін, куркумін, різні амінокислоти. У невеликих дослідженнях інколи спостерігають позитивні зміни — кращу увагу чи швидкість реакції. Але коли проводять масштабні випробування, результати часто зникають.
Проблема ще й у тому, що такі добавки майже не регулюються. Тобто на упаковці можна написати «підтримує мозок» — і це не вважається обманом, бо формально не обіцяє лікування. А для покупця ця фраза звучить так, ніби засіб реально діє.
Гінкго, Prevagen, Neuriva та десятки інших «пігулок для мозку» красиво обіцяють, але не мають переконливих доказів. Вони не зроблять памʼять кращою і не зупинять старіння. Це не більше ніж маркетингові казки в яскравій упаковці.
Але є й хороша новина: тобі не потрібно витрачати гроші на сумнівні добавки, щоб підтримати мозок. Є речі, ефективність яких доведена наукою — і вони не завжди продаються в аптеці. Про це — далі.
Що справді працює для мозку (і не в капсулах)
Ми всі хочемо простих рішень. Але замість пігулки «для пам’яті» є речі, які реально впливають на мозок — і це доведено десятками досліджень. Вони безкоштовні або значно дешевші за баночки з яскравими етикетками, і головне — ефективніші.
А ще варто пам’ятати: іноді для ясності розуму достатньо не добавок, а звичайного порядку навколо. Якщо цікаво, як просте прибирання може впливати на твої думки, настрій і навіть продуктивність — зазирни в нашу статтю «Генеральне прибирання для душі: як очищення простору вдома покращує життя». Ти здивуєшся, наскільки зміни в домі здатні змінити внутрішній стан.
Фізична активність — зарядка для нейронів
Коли тіло рухається, мозок теж отримує свою порцію енергії. Аеробні вправи — ходьба, біг, плавання чи танці — покращують кровообіг і стимулюють утворення нових нейронних зв’язків. Доведено, що регулярні тренування знижують ризик деменції та роблять мислення яснішим.

Вчені показали: фізична активність здатна сповільнити віковий когнітивний спад на кілька років. При цьому зовсім не обов’язково ставати марафонцем. Достатньо щодня виходити на швидку прогулянку, аби мозок «відчув життя».
Середземноморська дієта — харчування для пам’яті
Люди, які харчуються за принципами середземноморської дієти, мають кращі результати в тестах на пам’ять і концентрацію. Це пояснюється тим, що в їхньому раціоні багато антиоксидантів, омега-3 і корисних жирів. Їжа тут працює як ліки, але без побічних ефектів.

Основні продукти цієї дієти прості та доступні. Це овочі, риба, оливкова олія, горіхи, бобові й цільнозернові продукти. Обмеження цукру й переробленої їжі лише покращує засвоюваність корисних елементів.
Таке харчування не тільки зменшує ризик серцево-судинних захворювань. Воно також підтримує ясність мислення та допомагає мозку працювати стабільно. Тож інвестиція у здорове меню — це найвигідніший внесок у себе.
Якісний сон — найкращий «детокс» для мозку
Уві сні мозок не відпочиває, а працює: зберігає спогади, видаляє токсини та відновлює ресурси. Коли сну не вистачає, ці процеси порушуються, і вже за кілька днів відчувається туман у голові. Це впливає не лише на пам’ять, а й на настрій.
Дорослій людині потрібно від 7 до 9 годин якісного сну. Важлива не тільки тривалість, а й регулярність: бажано лягати та вставати в один і той самий час. Такий режим дає мозку стабільність.
Хронічний недосип можна порівняти з повільною отрутою. Він непомітно підточує увагу, знижує здатність концентруватися і робить тебе дратівливішим. Тому найкраща турбота про мозок починається з повноцінного сну.
Розумові навантаження — тренування для нейронів
Мозок схожий на м’яз: якщо його не тренувати, він слабшає. Читання, вивчення мов, музика чи настільні ігри змушують нейрони працювати активніше. Це стимулює нейропластичність — здатність мозку створювати нові зв’язки.
Найкраще працюють завдання, до яких ти не звик. Якщо читаєш лише новини — спробуй шахи, якщо пишеш тексти — візьмися за малювання. Новизна — головне паливо для мозку.

Дослідження підтверджують: ті, хто продовжує навчатися в дорослому віці, довше зберігають ясність мислення. І тут зовсім не обов’язково ставати професором. Достатньо дати собі виклик у новій сфері.
Соціальні зв’язки — ліки від когнітивного спаду
Мозок любить спілкування. Розмови з друзями, обговорення ідей чи навіть проста кавова пауза — це спосіб потренувати пам’ять і увагу. Соціальна активність знижує ризик депресії й деменції.
Дослідження Гарвардського університету доводять: люди, які мають міцні стосунки, живуть довше і мислять ясніше. Їхній мозок працює краще навіть у старшому віці. Спілкування — це теж терапія.
Самотність, навпаки, пришвидшує когнітивний спад. Вона діє непомітно, але дуже руйнівно.
Контроль стресу — захист від перевантаження
Хронічний стрес — це ворог пам’яті та концентрації. Постійно високий рівень кортизолу «вимикає» когнітивні ресурси і робить мозок менш гнучким. У результаті важко думати, навчатися і навіть запам’ятовувати дрібниці.
Що допомагає впоратися: короткі перерви в роботі, медитація чи йога. Також корисні прогулянки на природі й прості дихальні вправи. Ці практики знижують напругу і дають відчуття відновлення.
Мозок, який живе в стресі, працює на виживання, а не на розвиток. Коли ж ти даєш йому паузу, він повертає ясність і спокій. Це і є найкраща підтримка когнітивних функцій.

Підсумок
Міф про «пігулку для розуму» звучить привабливо, але правда в іншому. Вітаміни справді важливі, та вони не зроблять тебе геніальнішим, якщо немає дефіциту. Секрет ясної пам’яті й швидкого мислення — у щоденних звичках: достатньо спати, правильно харчуватися, рухатися й давати мозку нові виклики. Це і є ті «вітаміни», які реально працюють.
Хочеш ще більше прокачати свій мозок? Опануй нову сучасну професію. Приєднуйся до наших найближчих заходів, та обирай курс собі до смаку від маркетингу до ІТ. Це не лише шанс тримати себе в формі, а й отримати високооплачувану спеціальність.