Коучинг для мозга — новый инструмент в корпоративном арсенале. В этой статье разбираемся, почему компании инвестируют в развитие мышления своих команд, как это работает на практике и что дает бизнесу в ответ.
Реклама обещает, что стоит только купить правильную баночку с надписью «витамины» — и твоя продуктивность взлетит. В этой статье разбираемся, какие добавки действительно нужны организму, а где просто красивая сказка для продаж.
Порой кажется, что мозг просто «завис»: трудно сосредоточиться, все забывается, а мысли — как в тумане. В такие моменты хочется найти волшебную таблетку, которая все исправит: вернет фокус, прокачает память и даст силы работать на максимум. И вроде как ответ — с полки подмигивает яркая баночка с надписью «ВИТАМИНЫ».
Знакомо? Рынок витаминов и БАДов играет на нашем желании быть продуктивнее, здоровее и красивее, особенно когда силы на нуле, а тревога — на максимуме. Но есть один вопрос, который стоит задать перед тем, как добавить очередную баночку в корзину: действительно ли это работает или просто красиво звучит?
В этой статье мы разберемся:
- какие витамины и вещества действительно нужны мозгу,
- что говорят исследования об их эффективности,
- и как не попасть в ловушку маркетинга.

Потому что забота о себе — это не о слепой вере в рекламу. Это об осознанных решениях, которые помогают думать лучше и жить осознаннее.
Что нужно мозгу для работы: краткий гид по витаминам
Мозг — это не только серое вещество, а сложная биохимическая система. Чтобы думать быстро, запоминать надолго и не выгорать, ему нужно постоянное «горючее». Часть мы получаем из пищи, часть — из окружающей среды (солнце, море и т.д.), а часть просто не дополучаем, даже не догадываясь об этом.
Когда в организме не хватает определенных витаминов или микроэлементов, мозг — один из первых, кто это почувствует. Теряется концентрация, падает настроение, приходит хроническая усталость. И здесь стоит не бежать сразу за ноотропами, а разобраться — что именно нужно мозгу ежедневно, чтобы работать эффективно.
Витамины группы B: основа работы нервной системы
Если представить мозг как электросеть, то витамины B — это и провода, и трансформаторы, и система безопасности. Особенно важны B6, B9 (фолат) и B12 — они отвечают за образование нейромедиаторов (серотонина, дофамина), которые влияют на настроение, внимание и память. А еще эти витамины участвуют в создании миелиновой оболочки — «изоляции» для нервов.

При дефиците B12 появляется туман в голове, раздражительность и потеря памяти. Это не преувеличение — при хронической нехватке развиваются настоящие неврологические расстройства. Хорошо, что этот дефицит легко обнаружить и исправить, если вовремя обратить внимание.
Сигналы, что стоит проверить уровень витаминов B:
- усталость, которая не проходит даже после сна;
- частые головные боли, головокружения;
- «мурашки» по телу или покалывание в руках;
- снижение внимания, забывчивость;
- перепады настроения.
Витамин D: не только об иммунитете
Его ещё называют «солнечным гормоном» — и не зря. Витамин D нужен для многих функций, но последние годы учёные активно изучают его связь с когнитивным здоровьем. Низкий уровень D может быть связан с депрессивными состояниями, тревожностью, рассеянным вниманием и даже повышенным риском деменции в пожилом возрасте.
Поскольку многие из нас работают в офисе или живут в северных регионах, дефицит D — не редкость. Даже летом, если ты пользуешься SPF (а ты должен это делать), синтез витамина блокируется. Поэтому анализ на D — один из базовых, если чувствуешь, что мозг «не включается».
Омега-3: жир, без которого мозг не работает
Да, наш мозг почти на 60% состоит из жира. И важнейшими в этом «жировом составе» являются омега-3 жирные кислоты, особенно DHA и EPA. Они строят мембраны нейронов, уменьшают воспаление, улучшают передачу сигналов.

Если в рационе мало рыбы, орехов и семян — омега-3 может не хватать. Ученые заметили, что у людей, которые регулярно едят лосося, скумбрию, тунец или сардины, память и скорость реакций лучше, чем у тех, кто избегает морепродуктов. Но интересно, что добавки с рыбьим жиром не дают такого же эффекта, как натуральная еда.
Магний, цинк и холин: малозаметные, но важные
Эти нутриенты не на слуху так, как омега или витамины D и B, но без них мозг не сможет работать слаженно. Магний отвечает за расслабление нервной системы, улучшает качество сна и помогает уменьшить тревожность. Цинк — поддерживает когнитивные функции, участвует в формировании памяти и обучении.

А вот холин — вещество, которое нужно для синтеза ацетилхолина, одного из ключевых нейромедиаторов. Он особенно важен для студентов, креаторов, людей, которые работают с информацией — потому что влияет на способность к обучению. Холин можно получить из желтков, печени, бобовых.
Тебе не обязательно знать все формулы, но важно понимать, что мозг — это в первую очередь биохимия. И если не хватает строительных материалов, даже самый умный интеллект буксует.
Три вещи, которые помогают поддержать умственную активность ежедневно:
- Полноценное питание из свежих продуктов.
- Регулярное обследование (анализы на B12, D, омега-3).
- Умение почувствовать сигналы тела и не игнорировать усталость, забывчивость или «туман в голове».
Хочешь дать мозгу еще больше вызовов и возможностей для роста? Приходи на наши ближайшие ивенты. Здесь ты сможешь освоить новую современную профессию, которая будет держать тебя в тонусе каждый день. Это не только развитие памяти и креативности, но и реальный шанс выйти на новый уровень карьеры.
Правда о добавках: когда они реально работают
Было бы удобно, если бы витамины работали как кофе: выпил — и мозг включился. Но на самом деле все сложнее. <БАДы и витаминные комплексы не улучшают память и концентрацию у людей, у которых нет дефицита.
Это подтверждают десятки исследований: Если твой организм и так получает достаточно питательных веществ, «добавка сверху» не придаст тебе гениальности. К сожалению, это не тот случай, когда больше — значит лучше. Наоборот, некоторые витамины (например, жирорастворимые A, D, E, K) в высоких дозах могут навредить.

Но есть ситуации, когда добавки — действительно необходимы. Все зависит от того, есть ли у тебя дефицит.
Когда мозг просит помощи: признаки дефицита
Дефициты могут возникать постепенно — и ты даже не заметишь, как оказываешься в состоянии, когда мозг работает на минималках. Это как долго ходить в цветных очках, думая, что это — норма.
Распространенные симптомы, которые могут указывать на недостаток витаминов или минералов:
- усталость без явной причины;
- нарушение концентрации;
- частые «зависания» и забывчивость;
- апатия или раздражительность;
- плохой сон;
- мышечные подергивания или покалывания.
Эти состояния могут быть следствием дефицита B12, D, магния, железа или омега-3. Но по симптомам не угадать точно, поэтому лучше сделать анализы — это быстро и значительно дешевле, чем куча «умных» добавок.
Что советуют врачи: проверяем — потом пьем
Врачи доказательной медицины советуют действовать не вслепую, а через диагностику. Самое простое — сдать анализы на:
- Витамин B12
- Витамин D (25(OH)D)
- Ферритин (запасы железа)
- Омега-3 индекс (по желанию)
- Гомоцистеин (маркер, связанный с недостатком фолатов)
Эти тесты покажут, действительно ли твоему организму чего-то не хватает, или дело в чем-то другом: стрессе, эмоциональном выгорании, плохом сне или перегрузке.
ВАЖНО: не пей витамины «на всякий случай». Это может привести к передозировкам, аллергиям или неожиданным побочкам. Например:
- избыток витамина D — нарушение работы почек;
- магний в высоких дозах — вызывает галлюцинации;
- витамин B6 — может вызвать онемение конечностей при чрезмерном приеме.
А когда добавки действительно нужны?
Есть ситуации, когда добавки медицинская необходимость. Например:
- Беременность и планирование — нужен фолат, DHA, иногда йод и прочее

- Веганство/вегетарианство — часто возникает дефицит B12, железа, омега-3
- Люди после 50 — ухудшается усвоение витаминов из пищи
- Заболевания ЖКТ — нарушение всасывания нутриентов (целиакия, гастрит и т.д.)
- Жители северных регионов или офисные работники — риск дефицита витамина D
- Хронический стресс, тревога, депрессия — иногда сопровождаются изменениями в обмене витаминов
Иногда мы просто уставшие, истощенные, не выспавшиеся. И верим, что новая баночка с «Brain Booster» решит все. Но таблетка не заменит сон, питание и психологическую поддержку. Если хочешь помочь мозгу — начни с базы: проверь, чего ему действительно не хватает, и не ведись на громкие лозунги.
Мультивитамины для мозга — новая надежда или миф?
Идея проста и привлекательна: вместо того чтобы искать отдельно витамины B, D, магний или омега-3, достаточно выпить одну таблетку — и организм получит все необходимое. Логика понятна: «на всякий случай» закрыть все возможные дефициты. И производители мультивитаминов активно продвигают именно этот подход: одна баночка = спокойствие за здоровье.
Но действительно ли мультивитамины способны влиять на мозг? Или это снова маркетинговая иллюзия? Долгое время ответ был скорее отрицательным. Но несколько лет назад ситуация изменилась благодаря серии масштабных исследований.
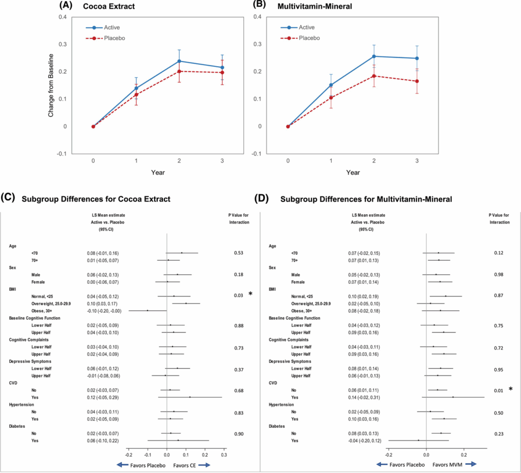
COSMOS study: мультивитамины и память у людей 60+
В США провели впечатляющее исследование COSMOS. В нем приняли участие более 20 тысяч человек, средний возраст — более 60 лет. Участников разделили на две группы: одни ежедневно принимали мультивитаминный комплекс, другие — плацебо.
Через несколько лет ученые проверили, есть ли разница в когнитивных функциях. И обнаружили интересное: у тех, кто принимал мультивитамины, память и глобальные когнитивные показатели были немного лучше. Эффект можно сравнить с тем, будто мозг «помолодел» примерно на два года по сравнению с контрольной группой. Это немного, но для пожилых людей — существенно.

Исследователи сделали вывод: ежедневный мультивитамин может замедлять возрастной когнитивный спад. И это стало настоящим прорывом, ведь раньше пользу мультивитаминов ставили под сомнение.
Важные нюансы
Несмотря на оптимистичные результаты, есть несколько «но»:
- эффект был умеренным, не «вау-результатом»;
- исследование проводили среди пожилых людей, поэтому для молодых выводы не так очевидны;
- мультивитамины не лечат деменцию, они лишь немного поддерживают мозг;
- механизм действия еще изучают: вероятно, дело в устранении; микродефицитов, которые с возрастом становятся частыми.
То есть это не волшебная таблетка, а скорее страховка для организма, который уже имеет проблемы в усвоении полезных элементов из питания.
Стоит ли пить мультивитамины «на всякий случай»?
Здесь мнения экспертов расходятся. Сторонники говорят: мультивитамин — это безопасный способ закрыть возможные пробелы в рационе, особенно если ты не уверен, что питаешься идеально. Оппоненты отмечают: если твой рацион разнообразен, мультивитамин не сделает тебя умнее. А еще есть риск передозировки отдельными компонентами, особенно жирорастворимыми витаминами.
Врачи советуют подходить так:
- Сначала пересмотри свой рацион — возможно, стоит добавить больше рыбы, зелени или орехов.
- Если питание действительно однообразное или имеешь ограничения (веганство, аллергии), мультивитамин может быть уместным.
- Помни, что это дополнение, а не замена полноценного питания.
Популярные «витамины для мозга», которые не работают
Рынок добавок для мозга огромен. Баночки с яркими надписями обещают «улучшение памяти», «умственную ясность» и даже «защиту от деменции». Но если заглянуть в исследования, большинство этих обещаний рассыпаются, как карточный домик. Давайте рассмотрим несколько громких примеров.
Гинкго билоба: легенда, которая не подтвердилась
О гинкго билоба слышали почти все, кто хоть раз интересовался добавками для мозга. Его продвигают десятилетиями как «природный стимулятор памяти» и «защиту от старческой деменции». Продается в виде таблеток, чаев и капсул.

Но самое большое исследование GEM (Ginkgo Evaluation of Memory, более 3000 участников, продолжительность почти 6 лет) показало нулевой эффект: в группе гинкго риск деменции не отличался от плацебо. Иными словами, пить его или не пить — разницы для мозга не будет.
Несмотря на это, гинкго продолжает продаваться и пользуется стабильным спросом. Потому что «натуральное», «давняя традиция» и «слухи о пользе» продают лучше сухих графиков из научных журналов.
Prevagen: белок из медуз и миллионы на обещаниях
Prevagen — это американский хит среди добавок для памяти. Его основной ингредиент — белок, выделенный из медуз. Звучит экзотично и научно, правда?

Реклама уверяет: «Помогает сохранить память и ясность мышления». Но доказательств нет. Ни одно качественное клиническое исследование не подтвердило, что Prevagen действительно работает. Более того, производитель неоднократно имел проблемы с регуляторами из-за ложных утверждений в рекламе.
Несмотря на это, продукт ежемесячно покупает около миллиона американцев. Продажи достигают более $40 млн в месяц. По сути, это дорогое плацебо, которое играет на страхе людей потерять память в пожилом возрасте.
Neuriva: «клинически доказано»… но не совсем
Neuriva — еще один громкий бренд, который позиционирует себя как «умственная поддержка №1». На этикетках когда-то писали «clinically proven» («клинически доказано»), но после судебного иска компанию заставили убрать эти слова. Потому что никаких серьезных доказательств эффективности не было.

В составе Neuriva — фосфатидилсерин (жировое соединение, которое можно получить из пищи) и экстракт кофейных ягод. Фактически главный эффект — это небольшая доза кофеина. Как метко пошутила одна неврологиня: «Зачем платить доллар за таблетку с кофейными зернами, если можно просто выпить кофе?».
Neuriva хорошо продается благодаря рекламе, но реальный эффект — сомнительный. Это еще один пример того, как упаковка и маркетинг создают иллюзию научности.
Другие модные ноотропы: много шума, мало доказательств
Сюда можно отнести десятки позиций: женьшень, бакопа, «львиная грива» (гриб Hericium), L-теанин, куркумин, различные аминокислоты. В небольших исследованиях иногда наблюдают положительные изменения — лучшее внимание или скорость реакции. Но когда проводят масштабные испытания, результаты часто исчезают.
Проблема еще и в том, что такие добавки почти не регулируются. То есть на упаковке можно написать «поддерживает мозг» — и это не считается обманом, потому что формально не обещает лечения. А для покупателя эта фраза звучит так, будто средство реально действует.
Гинкго, Prevagen, Neuriva и десятки других «таблеток для мозга» красиво обещают, но не имеют убедительных доказательств. Они не сделают память лучше и не остановят старение. Это не более чем маркетинговые сказки в яркой упаковке.
Но есть и хорошая новость: тебе не нужно тратить деньги на сомнительные добавки, чтобы поддержать мозг. Есть вещи, эффективность которых доказана наукой — и они не всегда продаются в аптеке. Об этом — далее.
Что действительно работает для мозга (и не в капсулах)
Мы все хотим простых решений. Но вместо таблетки «для памяти» есть вещи, которые реально влияют на мозг — и это доказано десятками исследований. Они бесплатны или значительно дешевле баночек с яркими этикетками, и главное — эффективнее.
А ещё стоит помнить: иногда для ясности ума достаточно не добавок, а обычного порядка вокруг. Если интересно, как простая уборка может влиять на твои мысли, настроение и даже продуктивность — загляни в нашу статью «Генеральная уборка для души: как очищение пространства дома улучшает жизнь«. Ты удивишься, насколько изменения в доме способны изменить внутреннее состояние.
Физическая активность — зарядка для нейронов
Когда тело движется, мозг тоже получает свою порцию энергии. Аэробные упражнения — ходьба, бег, плавание или танцы — улучшают кровообращение и стимулируют образование новых нейронных связей. Доказано, что регулярные тренировки снижают риск деменции и делают мышление более ясным.

Ученые показали: физическая активность способна замедлить возрастной когнитивный спад на несколько лет. При этом совсем не обязательно становиться марафонцем. Достаточно ежедневно выходить на быструю прогулку, чтобы мозг «почувствовал жизнь».
Средиземноморская диета — питание для памяти
Люди, которые питаются по принципам средиземноморской диеты, имеют лучшие результаты в тестах на память и концентрацию. Это объясняется тем, что в их рационе много антиоксидантов, омега-3 и полезных жиров. Еда здесь работает как лекарство, но без побочных эффектов.

Основные продукты этой диеты просты и доступны. Это овощи, рыба, оливковое масло, орехи, бобовые и цельнозерновые продукты. Ограничение сахара и переработанной пищи лишь улучшает усвояемость полезных элементов.
Такое питание не только уменьшает риск сердечно-сосудистых заболеваний. Оно также поддерживает ясность мышления и помогает мозгу работать стабильно. Поэтому инвестиция в здоровое меню — это самый выгодный вклад в себя.
Качественный сон — лучший «детокс» для мозга
Во сне мозг не отдыхает, а работает: сохраняет воспоминания, удаляет токсины и восстанавливает ресурсы. Когда сна не хватает, эти процессы нарушаются, и уже через несколько дней ощущается туман в голове. Это влияет не только на память, но и на настроение.
Взрослому человеку нужно от 7 до 9 часов качественного сна. Важна не только продолжительность, но и регулярность: желательно ложиться и вставать в одно и то же время. Такой режим дает мозгу стабильность.
Хронический недосып можно сравнить с медленным ядом. Он незаметно подтачивает внимание, снижает способность концентрироваться и делает тебя более раздражительным. Поэтому лучшая забота о мозге начинается с полноценного сна.
Умственные нагрузки — тренировка для нейронов
Мозг похож на мышцу: если его не тренировать, он ослабевает. Чтение, изучение языков, музыка или настольные игры заставляют нейроны работать активнее. Это стимулирует нейропластичность — способность мозга создавать новые связи.
Лучше всего работают задачи, к которым ты не привык. Если читаешь только новости — попробуй шахматы, если пишешь тексты — возьмись за рисование. Новизна — главное топливо для мозга.

Исследования подтверждают: те, кто продолжает учиться во взрослом возрасте, дольше сохраняют ясность мышления. И здесь совсем не обязательно становиться профессором. Достаточно дать себе вызов в новой сфере.
Социальные связи — лекарство от когнитивного спада
Мозг любит общение. Разговоры с друзьями, обсуждение идей или даже простая кофейная пауза — это способ потренировать память и внимание. Социальная активность снижает риск депрессии и деменции.
Исследования Гарвардского университета доказывают: люди, которые имеют крепкие отношения, живут дольше и мыслят яснее. Их мозг работает лучше даже в старшем возрасте. Общение — это тоже терапия.
Одиночество, наоборот, ускоряет когнитивный спад. Оно действует незаметно, но очень разрушительно.
Контроль стресса — защита от перегрузки
Хронический стресс — это враг памяти и концентрации. Постоянно высокий уровень кортизола «выключает» когнитивные ресурсы и делает мозг менее гибким. В результате трудно думать, учиться и даже запоминать мелочи.
Что помогает справиться: короткие перерывы в работе, медитация или йога. Также полезны прогулки на природе и простые дыхательные упражнения. Эти практики снижают напряжение и дают ощущение восстановления.
Мозг, который живет в стрессе, работает на выживание, а не на развитие. Когда же ты даешь ему паузу, он возвращает ясность и спокойствие. Это и есть лучшая поддержка когнитивных функций.

Итог
Миф о «таблетке для ума» звучит привлекательно, но правда в другом. Витамины действительно важны, но они не сделают тебя гениальнее, если нет дефицита. Секрет ясной памяти и быстрого мышления — в ежедневных привычках: достаточно спать, правильно питаться, двигаться и давать мозгу новые вызовы. Это и есть те «витамины», которые реально работают.
Хочешь еще больше прокачать свой мозг? Овладей новой современной профессией. Присоединяйся к нашим ближайших мероприятий, и выбирай курс себе по вкусу от маркетинга до ИТ. Это не только шанс держать себя в форме, но и получить высокооплачиваемую специальность.
